Skip to content Skip to sidebar Skip to footer

Cochran’s Sample Size Formula Calculator

Cochran s sample size determination formula cochran s sample size calculator cochran s sample size determination formula pdf cochran s sample size determination formula cochran s sample size determination cochran s sample size cochran s sample size formula kelly cochran serial killer cochran subaru cochran s formula for sample size calculation cochran survivor

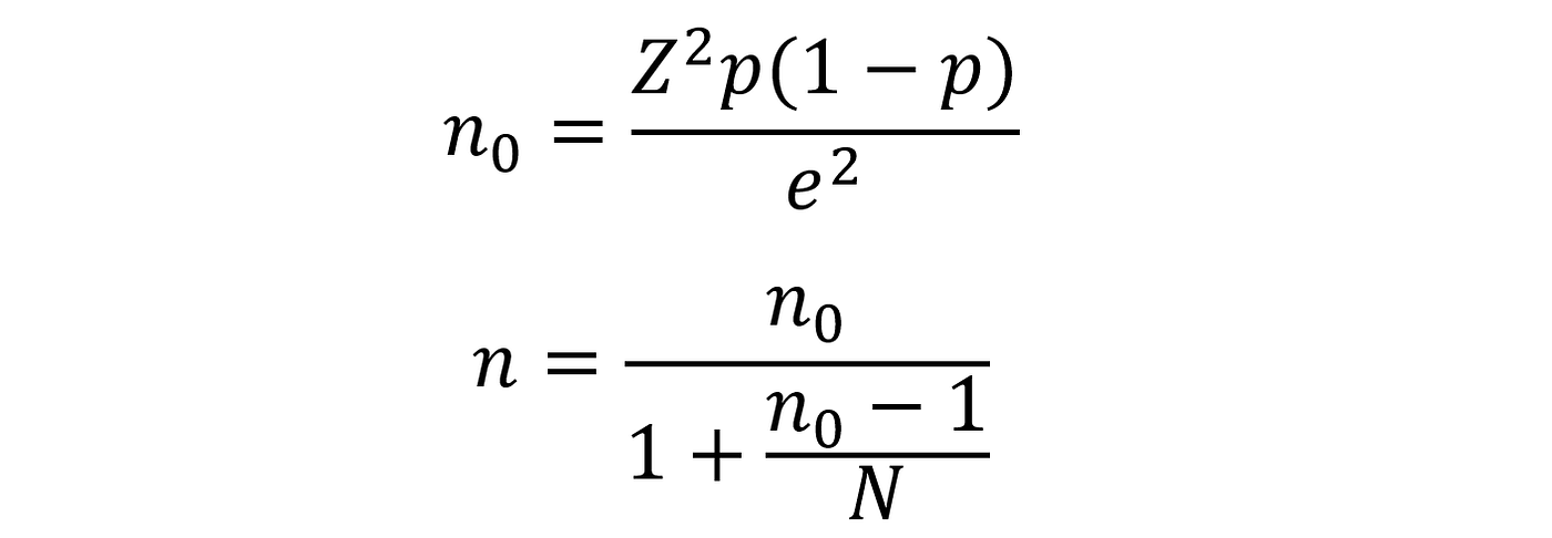
Cochran's Sample Size Formula Calculator. 5% is a common choice. Z is the z score ε is the margin of error.

Sample Size Six Sigma Study Guide
Sample Size Six Sigma Study Guide from sixsigmastudyguide.com
((1.96)2 (0.5) (0.5)) / (0.05)2 = 385. The formula used to calculate sample size; Using formulas to calculate a sample size.

Using formulas to calculate a sample size.

The formula used to calculate sample size; ((1.96)2 (0.5) (0.5)) / (0.05)2 = 385. The margin of error is the amount of error that you can tolerate. N is the population size p̂ is the .